Home > Category > Product category > Nucleotide

Nucleotide

Display mode
picture Name and description

3'-Fluorothymidine-5'-triphosphate

NC2017340026-13-9

98% NewCan Bio

Thymidine 5'-(trihydrogen diphosphate), 3'-deoxy-

NC2015737960-17-1

98% NewCan Bio

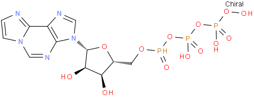
O5'-(dihydroxyphosphorylmethyl-hydroxy-phosphinoyl)-adenosine

NC201543768-14-7

98% NewCan Bio

Thymidine, 3'-azido-3'-deoxy-, 5'-(dihydrogen phosphorothioate)

NC20152374775-99-2

98% NewCan Bio

2'-Azido-2'-deoxyuridine 5'-diphosphate

NC2014536792-49-1

98% NewCan Bio

Cytidine 5'-(trihydrogen diphosphate), magnesium salt (9CI)

NC2013835874-41-0

98% NewCan Bio

Inosine 5'-Monophosphonate Disodium Salt

NC20133352195-40-5

98% NewCan Bio

NHC-triphosphate

NC2013034973-27-8

98% NewCan Bio

AMP-PCP

NC201293469-78-1

98% NewCan Bio

Adenosine 5'-(trihydrogen diphosphate), chromium(3+) salt (1:1) (9CI)

NC2012634436-40-3

98% NewCan Bio

Adenosine, 5'-phosphorodichloridate

NC2012034051-17-7

98% NewCan Bio

Guanosine 2'-(trihydrogen diphosphate), 5'-(trihydrogen diphosphate)

NC2011934013-43-9

98% NewCan Bio

6-(2,2,6,6-Tetramethylpiperidine-1-oxyl)-adenosine triphosphate

NC2011833913-54-1

98% NewCan Bio

8-Hydroxyethylaminoadenosine 3',5'-monophosphate

NC2011633823-17-5

98% NewCan Bio

Inosine, 5'-(hydrogen sulfate), monosodium salt (8CI,9CI)

NC2011533525-23-4

98% NewCan Bio

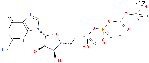
Guanosine Tetraphosphate

NC2011433503-72-9

98% NewCan Bio

Uridine 5'-(tetrahydrogen triphosphate), 5-(3-aminopropyl)- (9CI)

NC20106327623-83-6

98% NewCan Bio

Adenosine 5'-(tetrahydrogen triphosphate), iron(3+) salt (1:1)

NC201053269-25-8

98% NewCan Bio

Service
Hotline
0086-571-86912261
After sale
0086-571-86912261
Online service time: 9:00-18:00 on weekdays