4'-C-(Chloromethyl)-2'-C-methyluridine 5'-(tetrahydrogen triphosphate)
Number:NC290878CAS:1643968-86-8
97% NewCan Bio
4'-C-(Chloromethyl)-2'-C-ethynyladenosine 5'-(tetrahydrogen triphosphate)
Number:NC290877CAS:1643968-87-9
4'-C-(Azidomethyl)-2'-C-methyluridine 5'-(tetrahydrogen triphosphate)
Number:NC290876CAS:1643968-88-0
2'-Deoxy-6-O-ethyl-1'-C-ethynyl-2'-fluoroguanosine 5'-(tetrahydrogen triphosphate)
Number:NC290832CAS:1643969-80-5
5-Fluoro-2'-C-methylcytidine 5'-(tetrahydrogen triphosphate)
Number:NC289861CAS:1650636-02-4
2'-Deoxy-2'-fluoro-4'-C-methylcytidine 5'-(tetrahydrogen triphosphate)
Number:NC289380CAS:1654751-73-1
(2'S)-2'-Chloro-2'-deoxy-2'-fluorouridine 5'-(trihydrogen diphosphate)
Number:NC287807CAS:1673560-44-5
(2'S)-2'-Chloro-2'-deoxy-2'-fluorouridine 5'-(tetrahydrogen triphosphate)
Number:NC287779CAS:1673591-90-6
(2'R)-2'-Deoxy-2'-fluoro-2'-methyl-4-thiouridine 5'-(tetrahydrogen triphosphate)
Number:NC287464CAS:1678507-51-1
2'-C-Methyl-2-thiouridine 5'-(trihydrogen diphosphate)
Number:NC287398CAS:1678508-95-6
(2'R)-2'-Deoxy-2'-fluoro-2'-methyl-2-thiouridine 5'-(tetrahydrogen triphosphate)
Number:NC287391CAS:1678556-72-3
1-Methyl-6-thioguanosine 5'-(tetrahydrogen triphosphate)
Number:NC287219CAS:1681061-55-1
2'-Deoxy-2'-fluoro-N-(2-methylpropyl)-6-thioguanosine 5'-(tetrahydrogen triphosphate)
Number:NC287218CAS:1681061-56-2
2'-O-Methyl-N-(2-methylpropyl)-6-thioguanosine 5'-(tetrahydrogen triphosphate)
Number:NC287217CAS:1681061-57-3
2'-S-Methyl-2'-thiouridine 5'-(tetrahydrogen triphosphate)
Number:NC286352CAS:1690319-07-3
2'-Deoxy-2',2'-difluoro-4'-C-methylcytidine 5'-(tetrahydrogen triphosphate)
Number:NC285200CAS:1702841-31-3
2'-Deoxy-1'-C-ethynyl-2'-fluoroguanosine 5'-(tetrahydrogen triphosphate)
Number:NC285199CAS:1702841-50-6
2',2'-Dichloro-2'-deoxyuridine 5'-(trihydrogen diphosphate)
Number:NC285081CAS:1703785-72-1
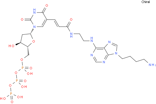
5-[(1E)-3-[[2-[[9-(4-Aminobutyl)-9H-purin-6-yl]amino]ethyl]amino]-3-oxo-1-propen-1-yl]-2'-deoxyuridine 5'-(tetrahydrogen triphosphate)
Number:NC279498CAS:1770854-39-1
5-[(1E)-3-[[2-[[9-[4-[(Aminoiminomethyl)amino]butyl]-9H-purin-6-yl]amino]ethyl]amino]-3-oxo-1-propen-1-yl]-2'-deoxyuridine 5'-(tetrahydrogen triphosphate)
Number:NC279497CAS:1770854-40-4
No products in this category